Challenge description:
Decrypt it.
twin-primes.7z{.attachment}
We have 4 files in the archive:
- encrypt.py – A Python script uses RSA algorithm to encrypt the flag
- encryped – The encrypted message
- key 1 – n, and e of one of the keys used in the encryption process
- key 2 – n, and e of the other key used in the encryption process
Are you ready for your math lesson? Here we go.
After reading encrypt.py we know that:
- n1 = p*q
- n2 = (p+2)(q+2)
- p and q are twin primes. _i.e _p is prime and p+2 is also prime; similar for q.
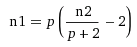
Now let’s turn the equation into an equation with one unknown and then solve it for the unknown.We can Isolate q to be
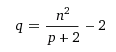
and substitute q in the other equation. Now we have an equation in one unknown:
Solve the equation and you’ll get: 
We need to solve this quadratic equation in order to find p and q. After that it will not be a problem to find the d’s and build the keys.
The rest is in the script:
Eat Veggies